Пожалуйста, подождите...
Перейти к содержимому
СТСН "СТРОИТЕЛЬ"
САДОВОДЧЕСКОЕ ТОВАРИЩЕСТВО СОБСТВЕННИКОВ НЕДВИЖИМОСТИ
Найти:
Главная
Новости
Объявления
График Полива
График подачи воды Май:
График подачи воды Июнь:
График подачи воды Июль:
График подачи воды Август:
График подачи воды Сентябрь:
Устав
ФЭО 2025
Платежное поручение
Акты Ревизии 2025 г.
Бланки
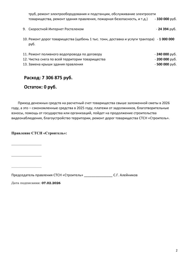
Сметы
Протоколы
Штатное расписание
Контакты
Законодательство
Сметы
Вернуться наверх